一分布式发电系统简介
随着化石燃料的耗尽,分布式发电系统(DG)因其对环境有益而受到广泛关注。逆变器在能量转换过程中非常重要,因为它们是负载和DG之间的纽带。电压源逆变器(VSI)和电流源逆变器(CSI)是基于DC侧的电源类型的两种类型的逆变器。由于CSI需要在直流侧串联一个大电感器,这将使系统更大,因此VSI在现实世界中更频繁地使用。
但是有源开关和其他一些设备会导致输出电流产生大量谐波。如果谐波过多,系统的损耗会上升,电路可能会停止工作。因此,需要安装一个滤波器来消除谐波。LCL滤波器和L滤波器是当今使用的最常见的设备类型。与L滤波器相比,LCL滤波器需要更少的空间,并且对高频信号具有更好的谐波抑制。但LCL滤波器有一个很大的缺点,使其用处不大。
LCL滤波器的波德图在谐振频率处有一个清晰的谐振峰,这很容易导致系统不稳定。因此,为了阻止共振尖峰,已经提出了主动和被动阻尼方法。使用被动阻尼方法,通过在电路中添加电阻器来抑制谐振尖峰。采用主动阻尼方法,通过改变控制算法来实现阻尼功能,从而不会对系统造成额外的损失。
与有源阻尼方法类似,在三开关升压逆变器(TSBI)中实现滤波器功能不需要任何额外的电阻器。它通过控制TSBI网络中的开关来停止谐振尖峰。此外,由于VSI是降压逆变器,其输出电压低于直流电压。需要在系统中添加升压装置,以确保逆变器的输出电压能够满足设备的需求。目前,最常用的方法是在直流侧添加升压转换器。
Z源逆变器和准Z源逆变器是两种新型的高增益变换器。但将升压装置放在直流侧会增加H桥电路中开关的电压应力。当开关受到很大的电压应力时,系统的稳定性会受到影响。因此,用户可以选择价格昂贵、寿命长的高压开关,这将使系统成本更高。
在LCL滤波器的基础上,增加了一个滤波电容器和三个双向开关,实现了TSBI。与ZSI和qZSI相比,降低了开关上的电压应力。通过控制TSBI网络中的开关,还可以显著抑制滤波器功能、升压功能和系统的谐振尖峰。
二TSBI的建模与调制分析
TSBI的拓扑结构
如图1所示,集成电路由三个双向开关、两个滤波电容器和两个滤波电感器组成。一对互补信号可以控制所有三个开关。用于开关K1和K3的控制信号是相同的,并且用于开关K2的控制信号与用于开关K1的控制信号相反。当栅极信号改变时,TSBI网络的结构改变。图图1显示了TSBI有三种矢量状态:有源矢量状态、升压零矢量状态和传统零矢量状态。

图1。TSBI的拓扑结构。来源:IET电力电子
主动矢量操作状态
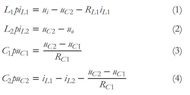
图2显示了开关K1、K3接通,开关K2断开,电容器C1以并联电容器C2的形式插入电路中。使用基尔霍夫电压定律(KVL)和基尔霍夫电流定律(KCL),为系统处于有源矢量状态T0时的时间间隔建立以下方程。


图2。处于活动矢量状态的流路径。来源:IET电力电子
其中p=d/dt,RL1是电感器L1的杂散电阻;RC1是电容器C1的杂散电阻,iL1是电感器L1的电流,iL2是通过电感器L2的电流,uC1是电容器C3的电压,uC2是电容器C2的电压,ui是H桥的输出电压,uo是负载的电压。
Boost零矢量操作状态
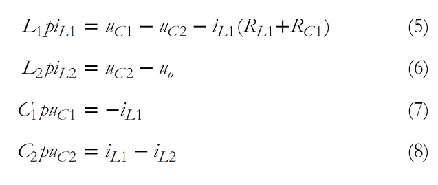
在升压零矢量状态下,开关K1、K3为OFF,开关K2为ON。如图3所示,H桥中的开关S1和S2(或开关S3和S4)为ON,H桥的输出电压为0。假设系统在升压零矢量状态下运行的时间间隔为T1,可以获得以下方程。


图3。增压零矢量状态下的流动路径。来源:IET电力电子
传统零矢量运算状态
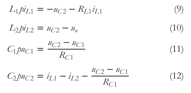
在传统的零矢量状态下,开关K1和K3均为ON,开关K2为OFF。如图4所示,H桥中的开关S1和S2(或开关S3和S4)为ON,逆变桥的输出电压为0。假设在这种状态下的时间间隔是T2,则可以获得以下方程。


图4。流动路径处于传统的零矢量状态。来源:IET电力电子
助推因子分析
根据电压第二平衡原理,当系统处于稳定状态时,电感器的平均电压为0。
对于一个开关周期TS,升压状态的时间间隔是T1,D=T1/TS,这给出了系统的升压占空比。根据方程(1–12),可以获得以下方程:
其中x、y1和y2可以表示为(14)。
电容器-C2的电压uC2和输入电压ui之间的关系如下:
同样,根据安培-秒平衡原理,当系统在稳态下工作时,电容器电流的平均值为0。因此,可以得到以下方程。
负载iR的电流和电感-L1-iL1的电流之间的关系为
在仅考虑电容器C1的电阻和负载电阻R的条件下,假设比率=rC1/R,可以获得不同比率的升压因子对D的曲线,如图5所示。
在理想情况下(rL1=rL2=rC1=rC2=0),电压uC2和逆变器输出电压ui之间的关系可以表示如下。
并且该系统的电压增益G可以表示为:
其中M是逆变器的调制指数。图6显示了逆变器的G与D和M的关系。
PWM调制策略
根据以上分析,系统的工作模式如表1所示。
图7显示了PWM控制方法。开关S1和开关S3的栅极信号是通过比较Vm和Vtri获得的,开关S2和开关S4的栅极信号则是通过比较-Vm和Vtri获得的。
表1。开关组合、矢量状态和逆变器输出电压
如图8所示,开关K1、K2和K3的栅极信号是通过将占空比(1-D)的基准与三角载波Vtri进行比较而获得的。
三总结要点
文章的一些要点如下:
作为分布式发电系统的重要组成部分,本文为滤波器集成三开关升压逆变器的建模和调制分析提供了有价值的见解。
文章强调了逆变器在能量转换中的重要性,并解释了基于直流侧电源的两种逆变器。
文章还强调了滤波器的必要性,以消除可能导致系统损耗和电路故障的谐波,这对确保发电系统的可靠性和效率至关重要。
文章中提出的TSBI拓扑分析提供了对其三种矢量状态的详细了解,这可以帮助工程师设计更高效、更可靠的发电系统。
总的来说,这篇文章对研究人员、工程师和任何有兴趣了解滤波器集成三开关升压逆变器背后的原理及其在能量转换中的作用的人来说都是一个宝贵的资源。
这篇博文是IET电力电子公司的一篇完整研究文章的一部分。
特色图片由Midtravel提供。